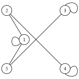
Дан ориентированный граф
![]()
1.1 Описание графа
Множества вершин и рёбер
1.2 Степени вершин
Таблица степеней
1 3 1 4 2 1 1 2 3 1 2 3 4 1 2 3 5 1 1 2
1.3 Матрицы орграфа
Матрица смежности
из \ в 1 2 3 4 5 1 1 0 0 0 0 2 1 0 0 0 0 3 0 0 1 0 1 4 0 1 0 1 0 5 1 0 0 0 0
Матрица инцидентности
v \ e 11 21 35 33 42 44 51 1 0 -1 0 0 0 0 -1 2 0 1 0 0 -1 0 0 3 0 0 1 0 0 0 0 4 0 0 0 0 1 0 0 5 0 0 -1 0 0 0 1
1.4 Список смежности
- 1:
- 2:
- 3:
- 4:
- 5:
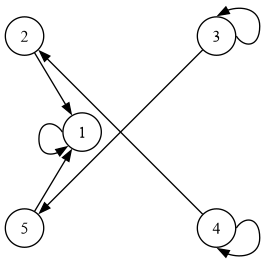
1.5 Ассоциированный неориентированный граф
![]()
Матрица смежности
1 2 3 4 5 1 1 1 0 0 1 2 1 0 0 1 0 3 0 0 1 0 1 4 0 1 0 1 0 5 1 0 1 0 0
Матрица инцидентности
v \ e 11 12 15 33 35 24 44 1 2 1 1 0 0 0 0 2 0 1 0 0 0 1 0 3 0 0 0 2 1 0 0 4 0 0 0 0 0 1 2 5 0 0 1 0 1 0 0
1.6 Матрица достижимости и компоненты
Матрица достижимости
из \ в 1 2 3 4 5 1 1 0 0 0 0 2 1 1 0 0 0 3 1 0 1 0 1 4 1 1 0 1 0 5 1 0 0 0 1